How to Design the Dimensions of Wedge Wire Nozzle
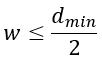
1. Slot Width of the Wedge Wire Nozzle
To prevent resin loss, the slot width w of the nozzle should meet the following requirement:

Where:
dₘᵢₙ is the minimum particle size of the resin, typically 0.3–0.5 mm. You may refer to our article “Physical and Chemical Properties of Ion Exchange Resins” for more details.
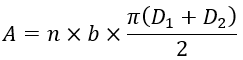
2. Flow Capacity Calculation of the Nozzle
The flow capacity of a wedge wire nozzle is determined by the total slot area and the flow velocity. The slot area can be calculated as follows:
Where:
n = number of slots in the nozzle
b = slot width (m)
D₁ = outer diameter of the slot circle (m)
D₂ = inner diameter of the slot circle (m)
The flow capacity can then be calculated by:
Where:
v = flow velocity through the slots. The recommended values are:
- 
For standard ion exchangers (softening, demineralization): 0.3–1.0 m/s (recommended: 0.5–0.8 m/s) 
- 
For condensate polishing systems (ultrapure water): 0.2–0.5 m/s (lower flow rate to prevent resin breakage) 
- 
For mixed bed systems (MB, ultrapure water production): 0.2–0.8 m/s (to prevent mixing of cation and anion resin layers) 
- 
For high-flow industrial exchangers (e.g., large-scale boiler make-up systems): 0.5–1.5 m/s 
Note:
- 
If v is too high, it can lead to excessive pressure drop, increased energy consumption, and turbulence in the resin bed. 
- 
If v is too low, it may cause uneven water distribution, reduced exchange efficiency, and risk of channeling. 
Any Requirements, Contact Us Now!
Kris
Email/Teams: kris@filtrationchina.com
Mobile/Whatsapp/Wechat: +86 18980776200
 
            
            
      
